// blog cá nhân về kỹ thuật phần mềm
// chia sẻ kiến thức & kinh nghiệmGhi chép của một developer
Nơi tôi chia sẻ những gì học được — từ thuật toán, kiến trúc hệ thống, đến công cụ yêu thích hàng ngày. Không hào nhoáng, chỉ là code thật và bài học thật.
Bài viết nổi bật
Xem tất cả →
The AI Paradox: Rising Investment, Lagging ROI
Phân tích dựa trên các báo cáo cập nhật tới Q1/2026, chỉ ra một nghịch lý trong làn sóng trí tuệ nhân tạo hiện nay: Dù đã đổ vào AI hàng trăm tỷ USD, phần lớn các tổ chức vẫn chưa có ROI+ một cách rõ ràng. Trong khi đó phố Wall phát đi tín hiệu đây có thể là một bubble lớn nhất lịch sử...
Bài viết gần đây

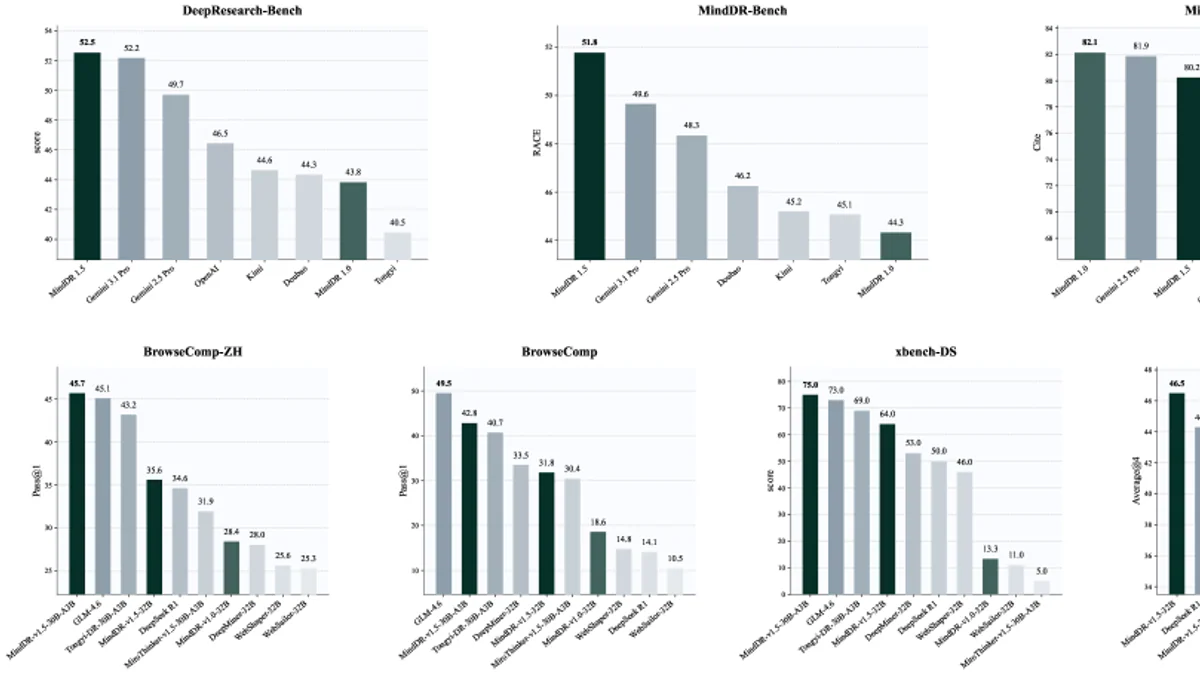
Mind DeepResearch 30B của Li Auto vượt Gemini 3.1 trên benchmark deep research
MindDR — multi-agent deep research framework chỉ ~30B tham số do Li Auto phát triển — đạt RACE 51.8 trên MindDR Bench, vượt cả Gemini 3.1 và Gemini 2.5 Pro. Bí quyết: 3 agent chuyên biệt + pipeline training 4 stage, chỉ tốn ~6,000 GPU card-hours.

Sherlock: công cụ OSINT mã nguồn mở quét username trên 400+ mạng xã hội trong vài giây
Sherlock là CLI OSINT 82k sao trên GitHub, MIT license, kiểm tra một username trên hơn 400 platforms — Twitter, GitHub, Steam, Reddit, GitLab, Roblox… — không cần API key, xuất CSV/JSON/XLSX, hỗ trợ Tor và proxy. Đây là tool mà bất kỳ ai làm OSINT, red team, hay brand audit đều nên có sẵn trong terminal.
#833AI Agent pops a root shell on Ubuntu 26.04 — on day one
DarkNavy says its multi-agent AI Argusee landed a root shell on Ubuntu 26.04 LTS within 24 hours of release. Here is what is real, what is unconfirmed, and why every defender should care.